
Selenoamino Acids: The Treasured “Selenium” Gems in Life Sciences
Selenoamino Acids: The Treasured “Selenium” Gems in Life Sciences
Selenoamino acids are unique selenium-co…
31
2025.10

Nitrocefin Detection Solutions and Customized Supply
Bacterial Resistance
– Nitrocefin Detection Solutions and Customized Supply
In the silent war between antibiotics…
15
2025.10

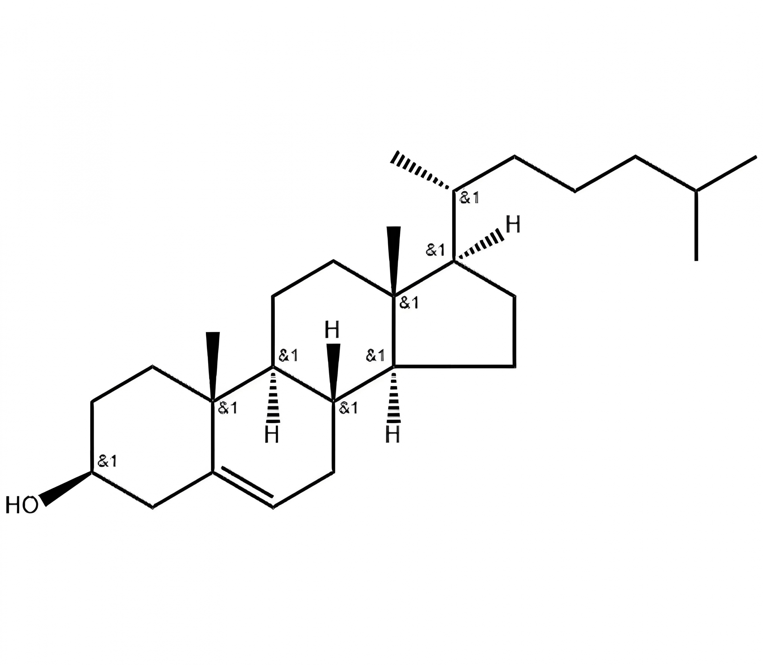
Introduction to 7-Dehydrocholesterol
Dehydrocholesterol, also known as 7-dehydrocholesterol, is a derivative of cholesterol with some unique characteristics…
27
2024.08

What is Sodium Polyanethol Sulfonate (SPS)?
I. What is Sodium Polyanethol Sulfonate (SPS)?
Sodium Polyanethol Sulfonate (SPS, CAS 55963-78-5) is a crucial chemical…
16
2025.12

Plant-derived Cholesterol: Breaking Through the Limitations of Animal Sources, Ushering in a New Era of Safety for Pharmaceutical Excipients
1、What is Cholesterol? Why is it So Important in Pharmaceutical Formulations?
Q1: What is the basic definition of chol…
20
2025.11

What is the application of plant-based cholesterol?
Plant-derived cholesterol, often referred to as plant sterols (such as beta-sitosterol), has a wide range of applicatio…
21
2024.08

What is plant-based cholesterol?
Plant-derived cholesterol actually refers to phytosterols, which are naturally found in plants. Phytosterols have a sim…
17
2024.08




